• Предмет: Алгебра
  • Автор: Алексей55578678
  • Вопрос задан 8 лет назад

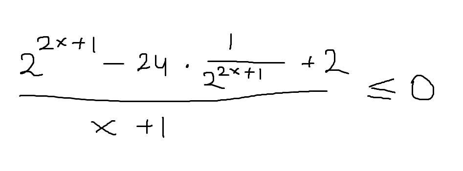
Легкий пример с заменой, решите методом интервалов пж)
У меня получилось (-беск до -1) и от(-1 до 0,5} . Ответ просто с учителем не сходится, а ошибку найти не получается)

Приложения:

Ответы

Ответ дал: maksimcat
0

Ответ на фото/////////////////////////

Приложения:
Вас заинтересует