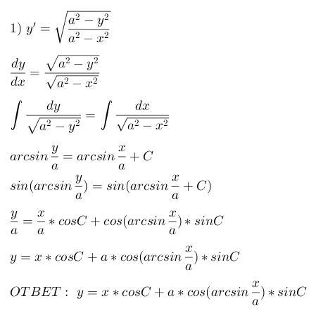
!Математика. Помогите, пожалуйста, решить дифференциальное уравнение. С подробным решением, пожалуйста
Приложения:

Ответы
Ответ дал:
0
................................................
Приложения:

Вас заинтересует
2 года назад
2 года назад
3 года назад
3 года назад
8 лет назад
8 лет назад
9 лет назад