Ответы
Ответ дал:
0
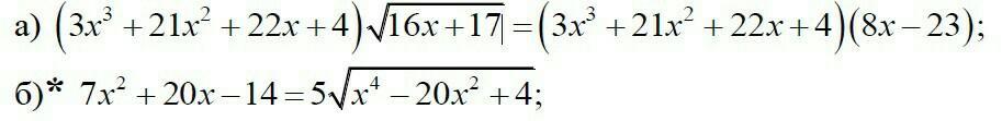
вроде так...................
Приложения:

Вас заинтересует
2 года назад
2 года назад
3 года назад
8 лет назад
9 лет назад