• Предмет: Алгебра
  • Автор: Алексей55578678
  • Вопрос задан 8 лет назад

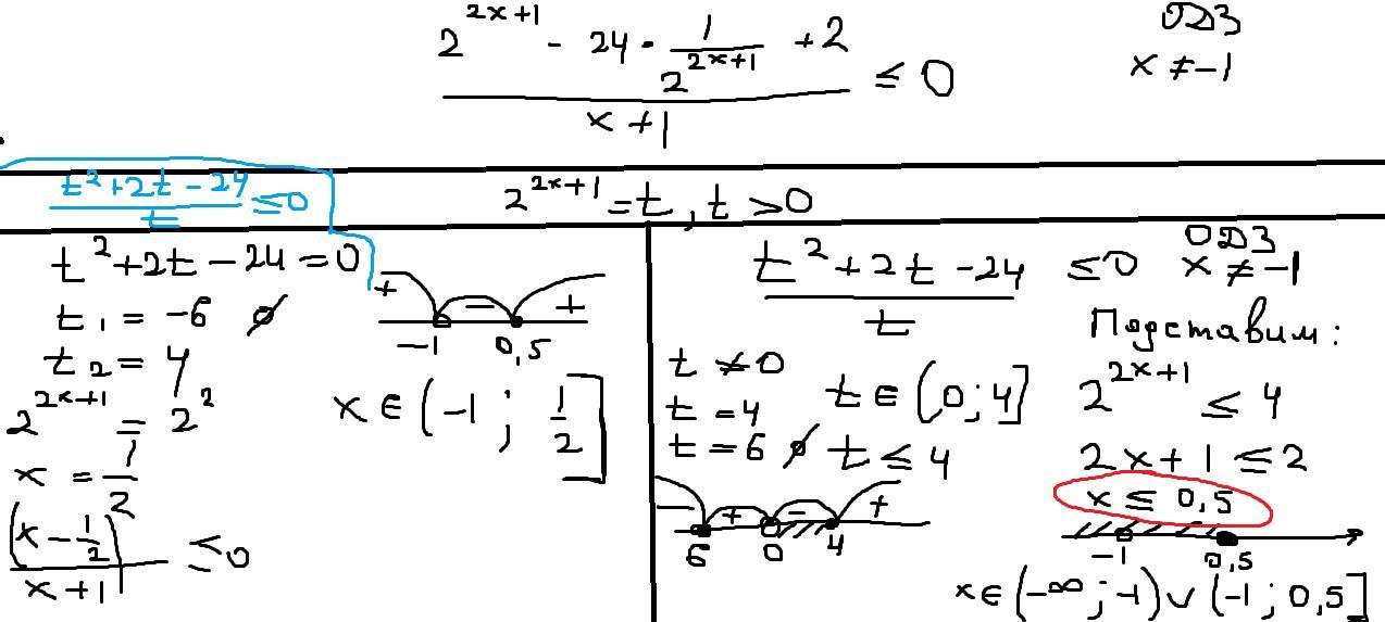
Скажите справа в чем моя ошибка, можно ли так делать? Когда подставим, там же х меньше или равен 0,5 правильно же? Исправьте правый способ, если это возможно.

Приложения:

Ответы

Ответ дал: shavrinatv
0

12345678900щнеууешщ1233445556

Приложения:
Вас заинтересует