25 баллов
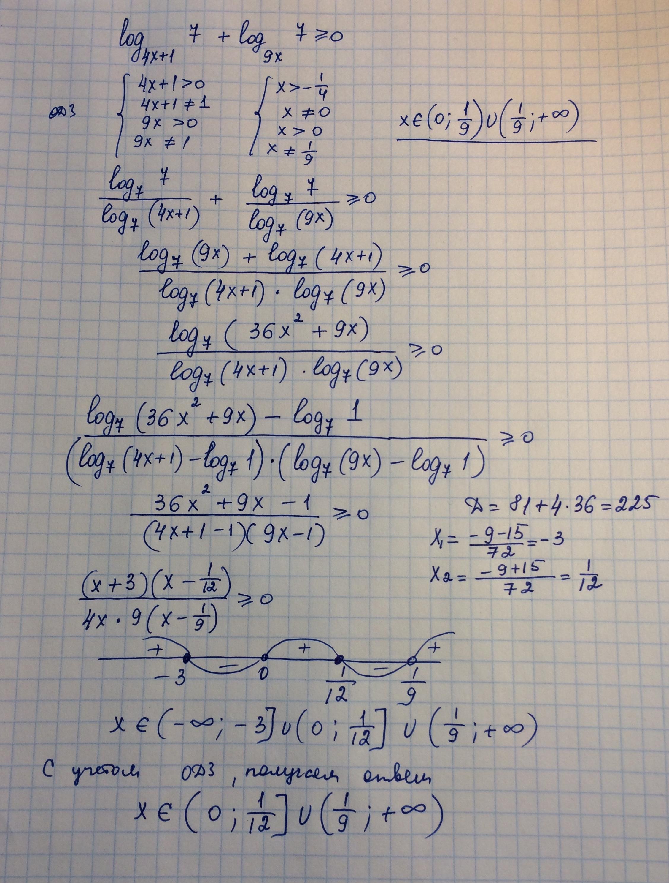
Решите логарифмическое неравенство
(10 класс)
Смотрите фотографию (Задание 10)
Оформить письменно!
log(4x+1, 7) + log(9x, 7) >= 0
Приложения:

Ответы
Ответ дал:
0
Ответ на фото//////////////////////////
Приложения:

Вас заинтересует
2 года назад
2 года назад
3 года назад
3 года назад
8 лет назад
8 лет назад