Ответы
Ответ дал:
0
Відповідь:
Покрокове пояснення:
Наверное ты что-то перепутал с заменами, но фиг знает, я не читал твоего решения
Приложения:

Ответ дал:
0
Посмотрите предложенный вариант.
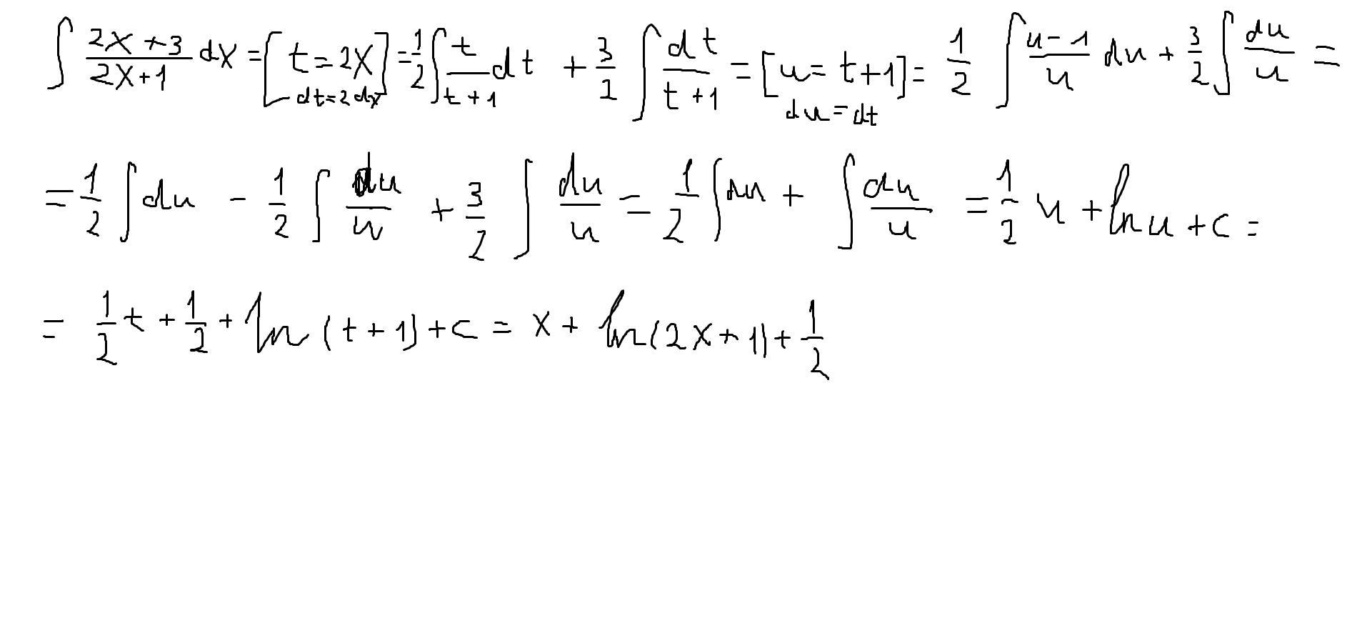
Основная ошибка, ИМХО, в выбранном методе (отсюда и замене, потеря "двойки" после прямой замены). Так как в числителе и знаменателе полиномы одинаковой степени ("неправильная дробь"), то необходимо либо делить полином числителя на полином знаменателя, либо разбивать на простые интегралы иным способом (например, тем, что предложен). Далее только после разбивания приступать к оценке и методам интегрирования.
Приложения:

Ответ дал:
0
Так как возможности исправить нет, просьба либо удалить ответ, либо инициатору убрать множитель 2 после ...=х+2... (после 4-го знака равенства), а также квадрат у логарифма.
Ответ дал:
0
Я нашёл свою ошибку. Ответ получился. Поэтому заменой можно. Ваш вариант я тоже понимаю.
Ответ дал:
0
"Поэтому заменой можно" - Верно замечено, но это сильно утяжеляет/удлинняет решение (ошибка: потеря двойки при прямой замене), так как возникают дроби, минусы при прямой/обратной заменах.
Ответ дал:
0
Не сохранился исправленный вариант, просьба ещё дать шанс. Спасибо!
Вас заинтересует
2 года назад
3 года назад
3 года назад
8 лет назад
9 лет назад
9 лет назад