• Предмет: Информатика
  • Автор: igorkorznikov74
  • Вопрос задан 8 лет назад

помогите написать программу в С++. со всеми библиотеками и со всем остальным

Приложения:

Ответы

Ответ дал: thegr1f
0

1.

#include <iostream>

#include <cmath>

using namespace std;

int main(){

double x = 0.4 * pow(10, 4);

double y = -0.875;

double z = abs(cos(x) - cos(y));

z *= (1 + y + (pow(y, 2)/2) + (pow(y, 3)/3) + (pow(y, 4)/4));

cout << z;

return 0;

}

2.

#include <iostream>

#include <cmath>

using namespace std;

int main(){

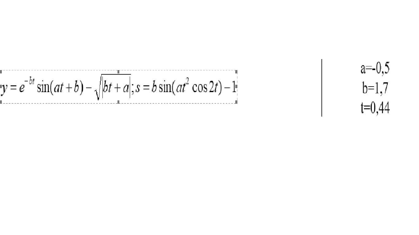
double a = -0.5;

double b = 1.7;

double t = 0.44;

double y = exp(-b*t) * sin(a*t+b);

y -= sqrt( abs(b*t + a) );

double s = b * sin(a*t*t * cos(2*t));

cout << "y: " << y << endl;

cout << "s: " << s;

return 0;

}

Ответ дал: DigitalAnnihilator
0
2. Почему переменные x,y,z не константные?
Ответ дал: DigitalAnnihilator
0
А вообще почему не constexpr?
Ответ дал: DigitalAnnihilator
0
Те же вопросы ко второму ответу тоже.
Ответ дал: thegr1f
0
Успокойте кто-нибудь эту обиженку
Ответ дал: DigitalAnnihilator
0
Просто если не умеешь писать на плюсах или си, не пиши пожалуйста, тут уже есть люди (я не про себя), которые пишут код с quality чуть по выше)
Вас заинтересует