Ответы
Ответ дал:
0
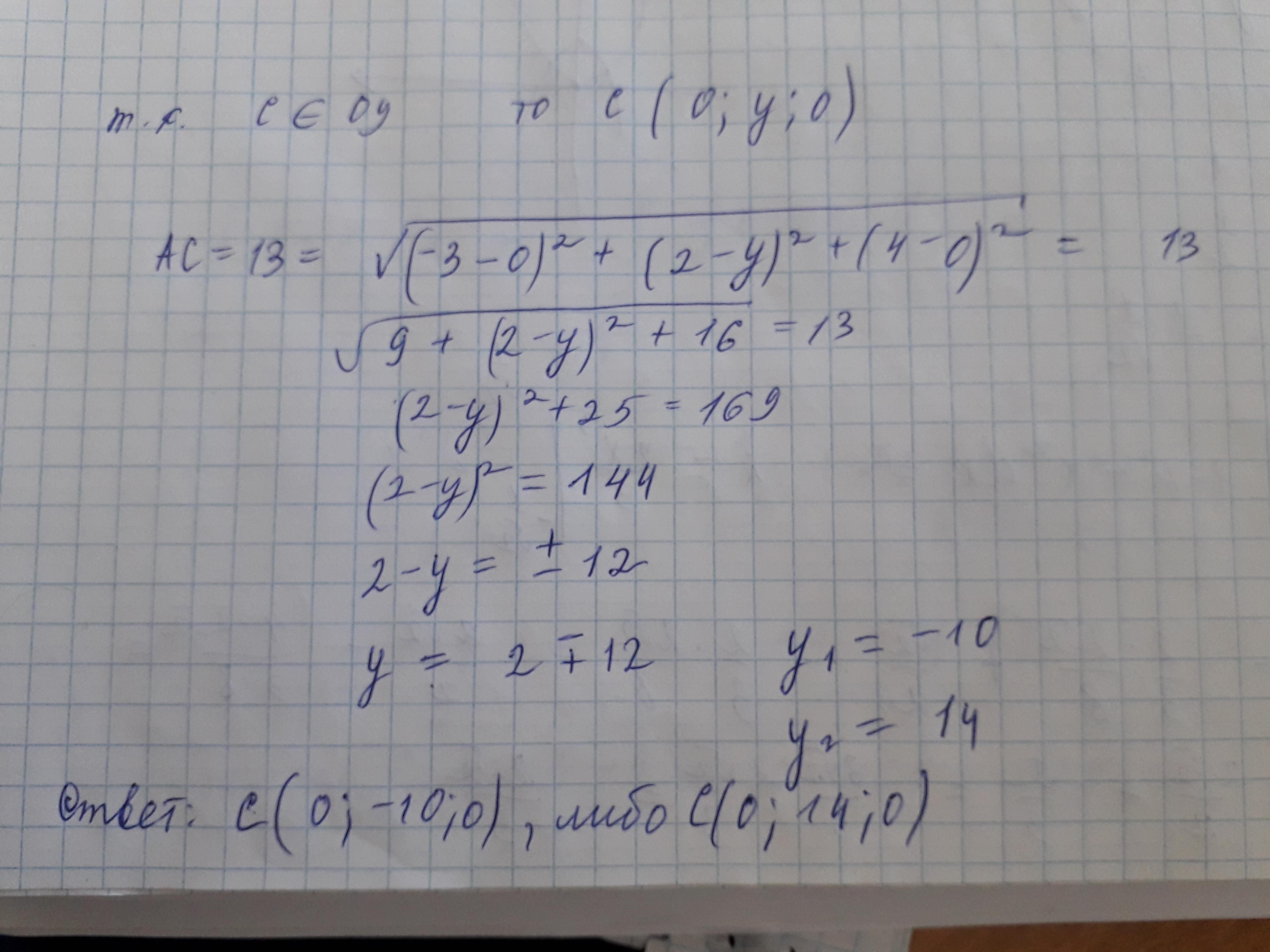
Ответ:с(0;-10;0), с(0;14;0)
Пошаговое объяснение:
Прилагаю
Приложения:

Ответ дал:
0
спасибо !!!!
Вас заинтересует
2 года назад
3 года назад
3 года назад
8 лет назад
8 лет назад
9 лет назад