• Предмет: Алгебра
  • Автор: Orlovkirill61h
  • Вопрос задан 8 лет назад

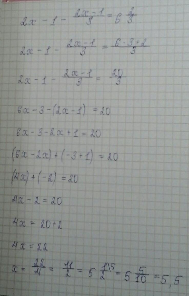
Решите уравнение. Даю 30 балов срочно помогите !!! Пожалуйста

Приложения:

Ответы

Ответ дал: Аноним
0
Подробное решение можно увидеть на картинке от моей руки.
Приложения:
Вас заинтересует