• Предмет: Алгебра
  • Автор: kaptyl
  • Вопрос задан 8 лет назад

нужен только ответ заранее спасибо ​

Приложения:

Ответы

Ответ дал: LichKing007
0
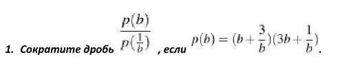
  • p(b) = (b + 3/b) (3b + 1/b)
  • p(1/b) = (1/b + 3b) (3/b + b)
  • Всё взаимноуничтожается при сокращении и получается 1 при условиях, что b не равно 0
  • Ответ: 1
Вас заинтересует