• Предмет: Физика
  • Автор: alsugasanova0460
  • Вопрос задан 8 лет назад

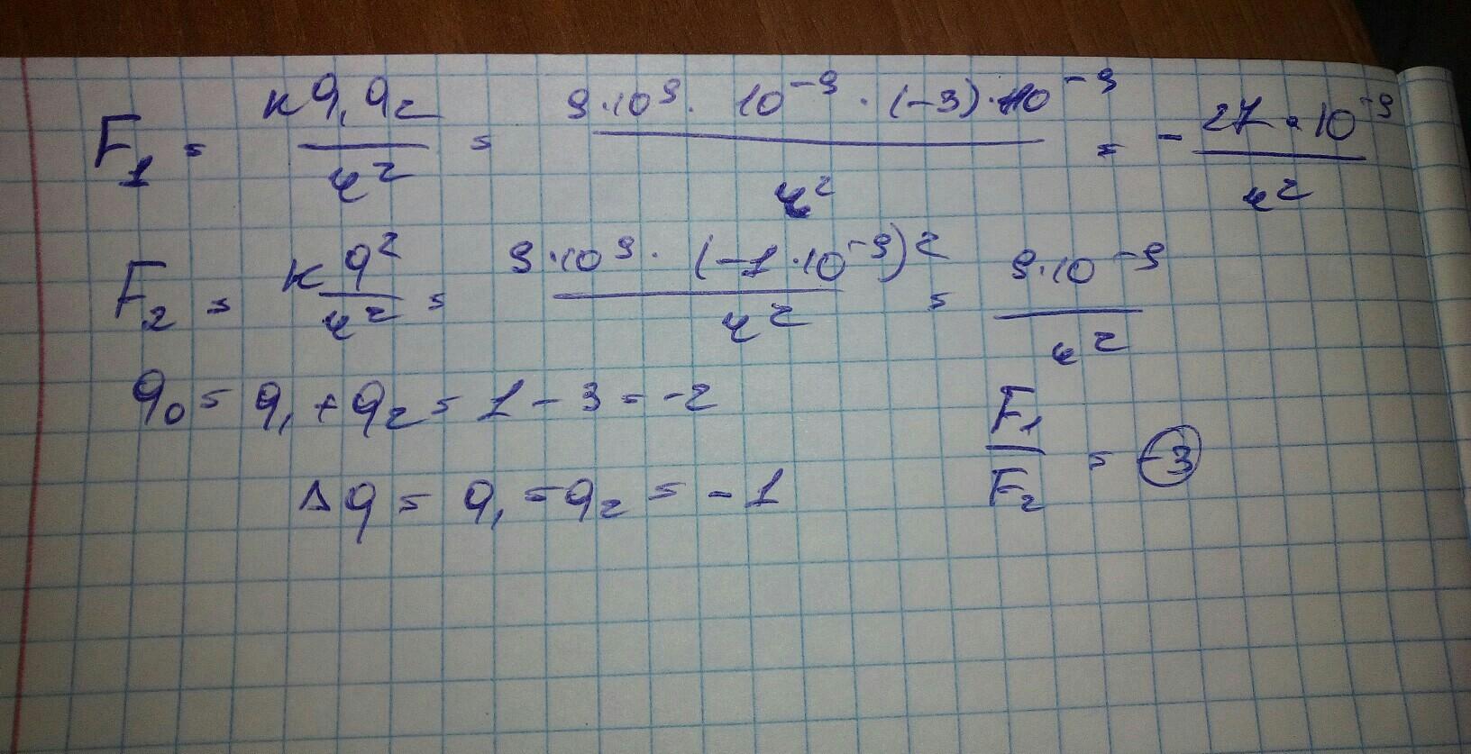
Два одинаковых металлических шара с зарядами +1нКл и -3нКл после соприкосновения друг с другом раздвинули на прежнее расстояние. Как изменилась сила взаимодействия между шариками?

Ответы

Ответ дал: Роман1233212002
0
Решение во вложении.
Ответ: Уменьшилась в 3 раза.
Приложения:
Вас заинтересует