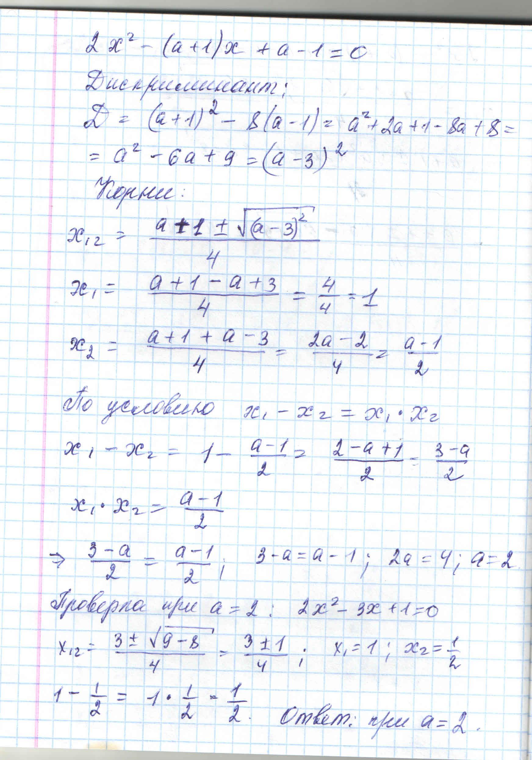
При каких значениях параметра a разность корней уравнения 2x^2-a(x+1)+a-1=0 равна их произведению?
Приложения:

Ответы
Ответ дал:
0
Решение во вложении.
Приложения:

Вас заинтересует
2 года назад
3 года назад
8 лет назад
8 лет назад
9 лет назад