• Предмет: Химия
  • Автор: sasha0445
  • Вопрос задан 8 лет назад

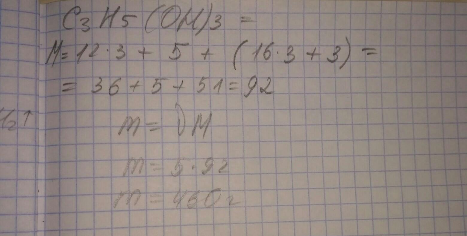
Перевірте, будь ласка, чи правильно зробила завдання.
Потрібно було визначити масу гліцеролу кількістю 5 моль​

Приложения:

Ответы

Ответ дал: sofisofisofi16
0

Все вiрно

------------------------------

Вас заинтересует