• Предмет: Алгебра
  • Автор: immortal556
  • Вопрос задан 8 лет назад

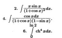
Решить интегралы с объяснением

Приложения:

Ответы

Ответ дал: HSS9860
0

Посмотрите предложенный вариант. По возможности перепроверьте арифметику для последнего интеграла (начиная с предпоследней строки).

Приложения:
Вас заинтересует