Ответы
Ответ дал:
0
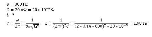
L=1.98 Гн
Решение в приложенном файле.
Приложения:

Ответ дал:
0
поздно уже
Ответ дал:
0
и пожалуйста , хватит врать! нет никаких 35 баллов , лишь только 18! я не тупая
Приложения:

Ответ дал:
0
25% возвращается
Ответ дал:
0
;)
Вас заинтересует
2 года назад
2 года назад
3 года назад
8 лет назад
8 лет назад
9 лет назад