• Предмет: Геометрия
  • Автор: hisava
  • Вопрос задан 8 лет назад

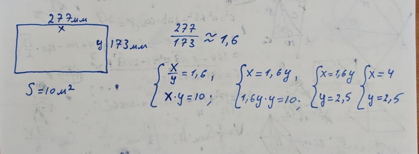
30 баллов. На карте размер земельного участка 277 мм на 173 мм

Определить длину и ширину участка в метрах, если его общая площадь составляет 10 квадратных метров

Ответы

Ответ дал: thegr1f
0

Ответ: длина 4 м, ширина 2.5 м

Решение на фото

Приложения:
Ответ дал: hisava
0
Это не задача из учебника, а мой участок. И я ошибся он у меня не 10 квадратных метров а 1000. Мне надо было посчитать длину забора. Забор у меня получился 40 + 40 + 25 = 105 метров, 25 метров - уже сосед поставил. Ну и цена. Цена - надо примерно 200 000 рублей на этот забор :(((((( Я плачу
Ответ дал: thegr1f
0
В таком случае расчёт нужно было точно не здесь спрашивать)
Ответ дал: hisava
0
Но все верно и правильно
Вас заинтересует