• Предмет: Алгебра
  • Автор: podorvanovavalentina
  • Вопрос задан 8 лет назад

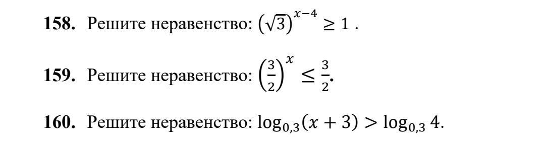
РЕШЕНИЕ СРОЧНО.......

Приложения:

Ответы

Ответ дал: JastLust
0

Все по действиям расписано, разобраться не сложно

Приложения:
Вас заинтересует