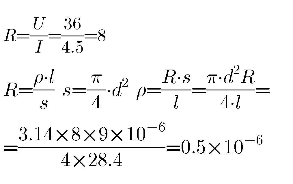
Определите удельное сопротивление провода,если известны его диаметр (3*10 в степени -3) и длина (28,4м),а при напряжении 36 В в нем устанавливается ток 4,5 А.
Ответы
                                            Ответ дал: 
                                                                                    
                                        
                                            
                                                
                                                
                                                
                                                    0
                                                
                                            
                                        
                                    Результат получился в Ом ×м^2/м если перевести в Ом×мм^2/м то получится 0.5 Константан
Приложения:
                    
                            Вас заинтересует
                
                        2 года назад
                    
                
                        2 года назад
                    
                
                        3 года назад
                    
                
                        3 года назад
                    
                
                        8 лет назад
                    
                
                        9 лет назад