• Предмет: Алгебра
  • Автор: Iiraa
  • Вопрос задан 8 лет назад

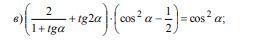
Докажите,пожалуйста, тождество! Заранее спасибо. фото во вложении

Приложения:

Ответы

Ответ дал: NNNLLL54
0

Big (frac{2}{1+tga}+tg2aBig )cdot Big (cos^2a-frac{1}{2}Big )=Big (frac{2}{1+tga}+frac{2tga}{1-tg^2a}Big )cdot frac{2cos^2a-1}{2}=\\=Big (frac{2}{1+tga}+frac{2tga}{(1-tga)(1+tga)}Big )cdot frac{cos2a}{2}=frac{2(1-tga)+2tga}{(1+tga)(1-tga)}cdot frac{cos2a}{2}=\\=frac{2}{(1+frac{sina}{cosa})(1-frac{sina}{cosa})}cdot frac{cos2a}{2}=frac{2}{frac{(cosa+sina)(cosa-sina)}{cos^2a}}cdot frac{cos2a}{2}=\\=frac{2, cos^2a}{cos^2a-sin^2a}cdot frac{cos2a}{2}=frac{cos^2a}{cos2a}cdot frac{cos2a}{1}=cos^2a\\cos^2a=cos^2a

Вас заинтересует