Ответы
Ответ дал:
0
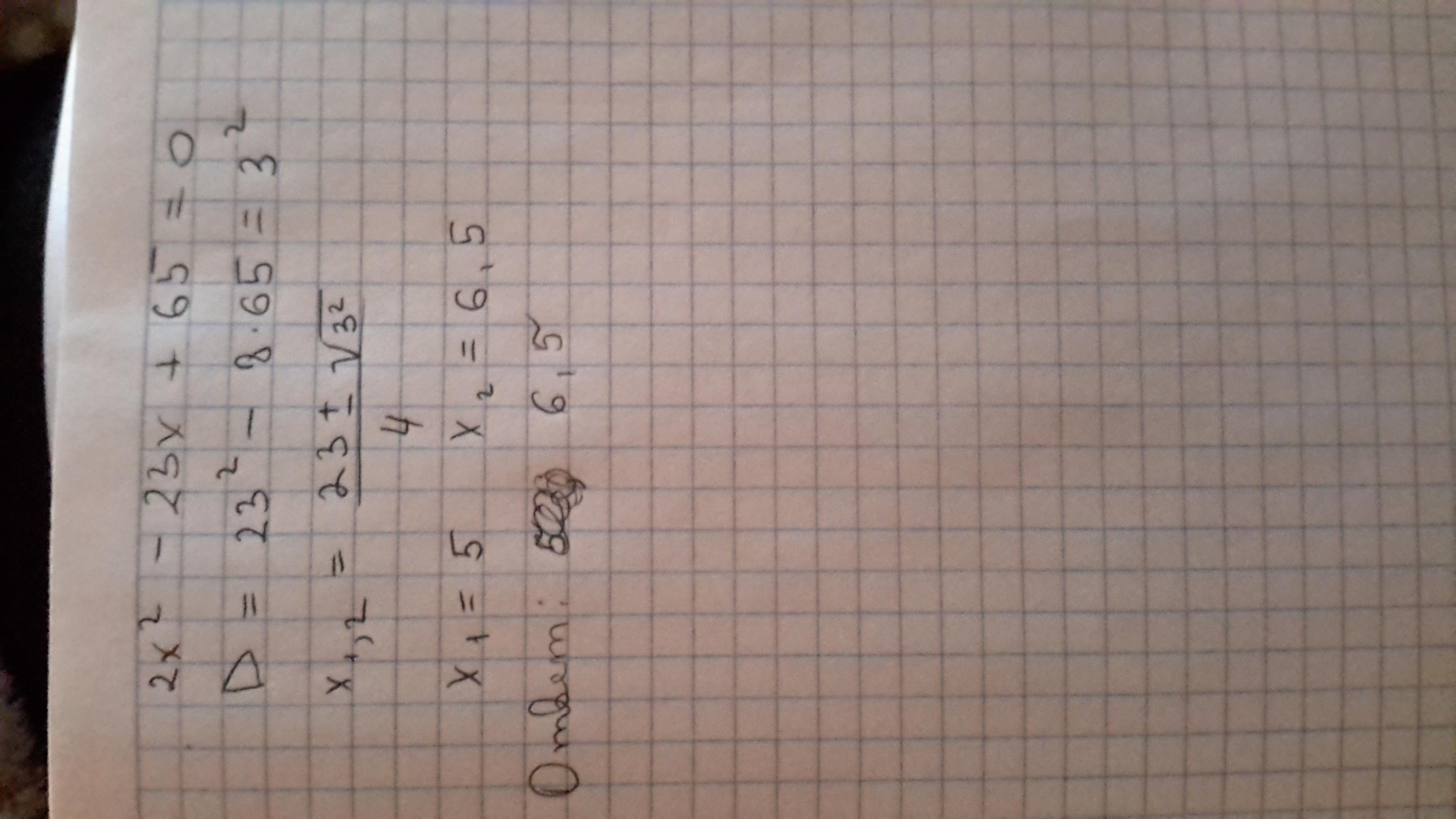
Ответ: если переводить в десятичную систему, будет 6,5
если нет, то 13/2
Пояснения на фото ))
Приложения:

Ответ дал:
0
Решение на фото. Отметьте ответ как лучший,пожалуйста
Приложения:

Вас заинтересует
2 года назад
2 года назад
3 года назад
3 года назад
8 лет назад
8 лет назад