• Предмет: Алгебра
  • Автор: mindima
  • Вопрос задан 8 лет назад

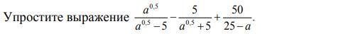
Алгебра .Упростите выражение .

Приложения:

Ответы

Ответ дал: Аноним
0

Решение на фото.

Отметь как лучший ответ, пожалуйста)), очень надо

Приложения:
Вас заинтересует