• Предмет: Алгебра
  • Автор: Zendy861
  • Вопрос задан 8 лет назад

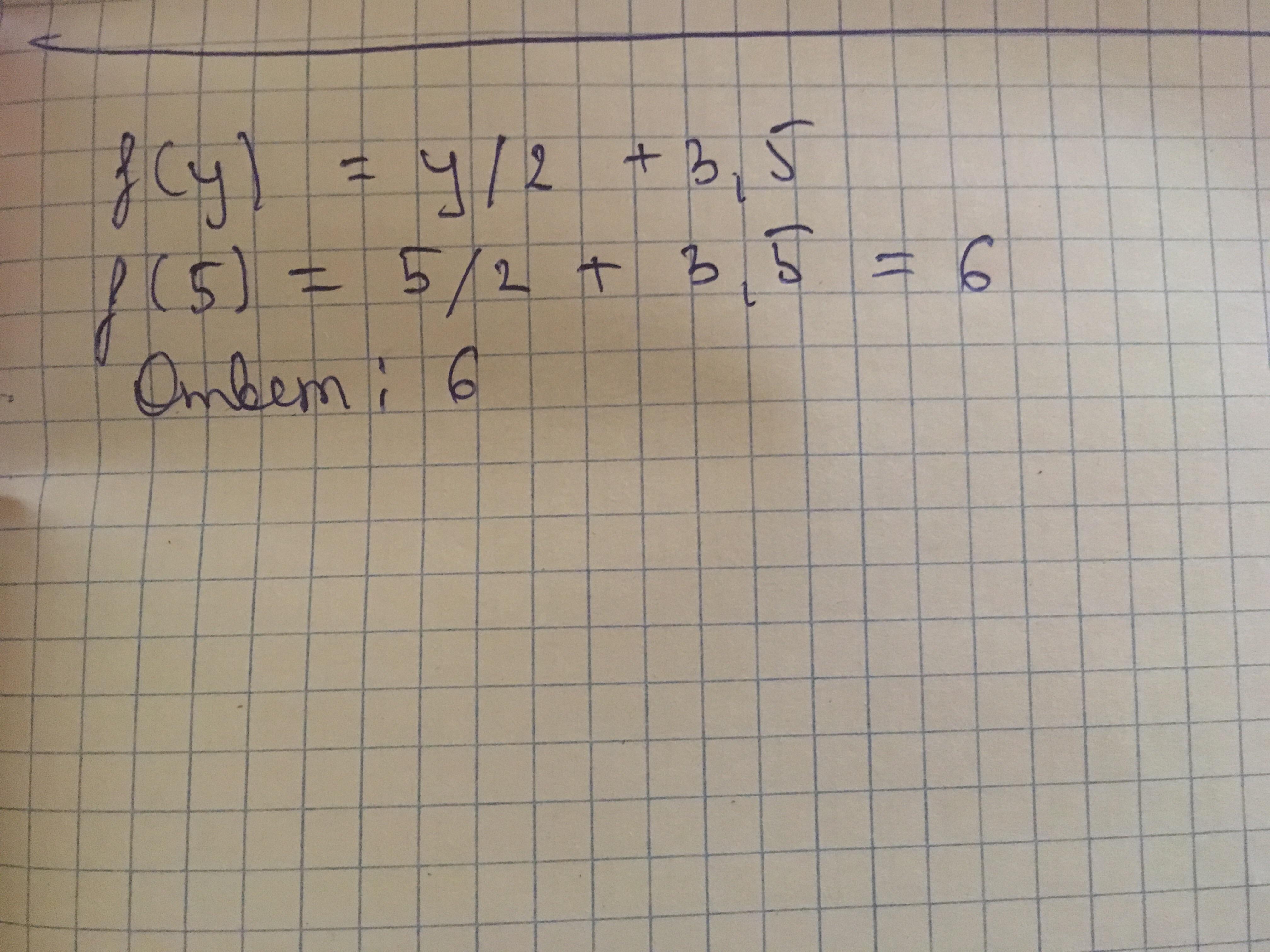
Если f(y)=y/2+3,5,

то f(5) =

Ответы

Ответ дал: Аноним
0

Решение на фото. Отметь ответ как лучший, пожалуйста)) очень надо

Приложения:
Ответ дал: Bronzor1
0

f(5)=frac{5}{2} +3.5=2.5+3.5=6

Приложения:
Ответ дал: Zendy861
0
как это понимать
Ответ дал: Bronzor1
0
исправилю
Ответ дал: Zendy861
0
Так у кого правильно то?
Ответ дал: Bronzor1
0
У обоих, я уже исправил, обновите страницу.(6 правильный ответ)
Ответ дал: Zendy861
0
Спасибо)
Вас заинтересует