• Предмет: Алгебра
  • Автор: илья0909
  • Вопрос задан 11 лет назад

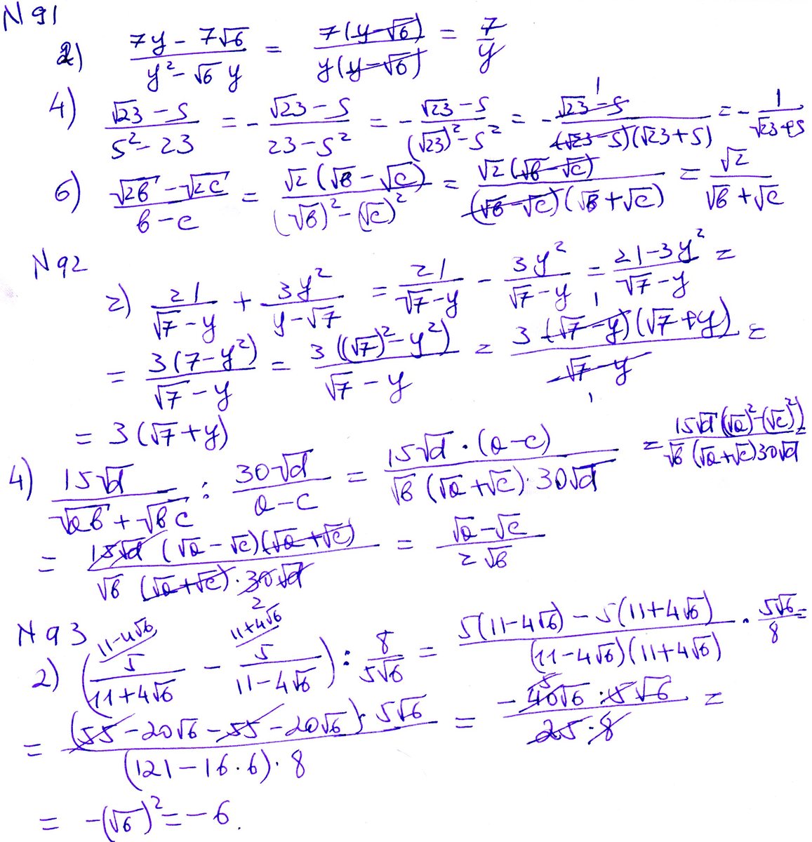
Привет всем помогите решить мне на завтра по зарез надо  капец, №91,92,93 чётные

Приложения:

Ответы

Ответ дал: Аноним
0
решение во вложении                               
Приложения:
Вас заинтересует