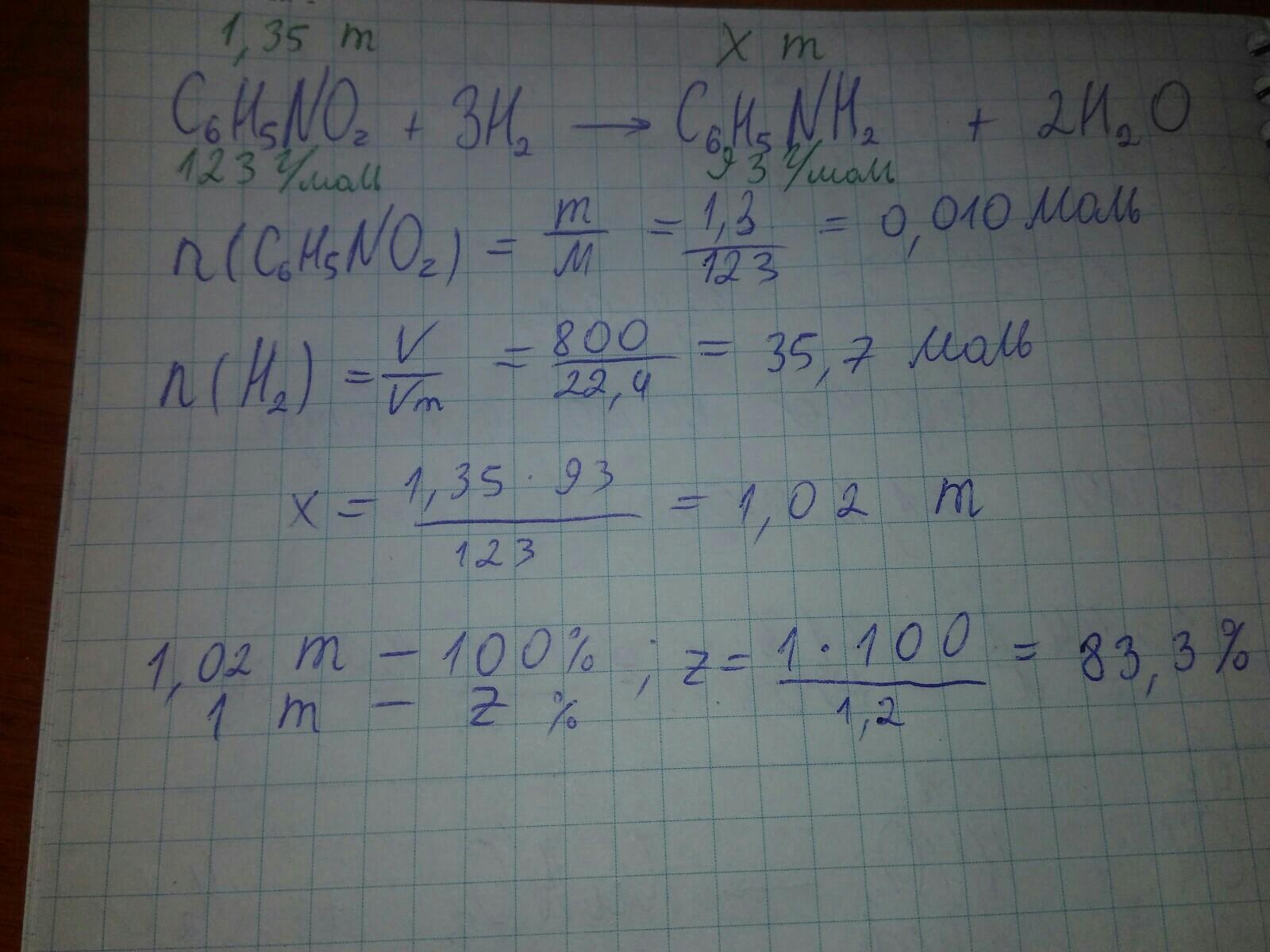
Для виробництва аніліну масою 1 т затратили нітробензен масою 1,35 т та водень об'ємом 800 м^3. Обчисліть вихід продукту
Ответы
Ответ дал:
0
Відповідь у файлі...
Приложения:
Вас заинтересует
2 года назад
2 года назад
3 года назад
3 года назад
9 лет назад
9 лет назад
10 лет назад
10 лет назад