Найдите все значения параметра a, для каждого из которых
следующая система уравнений имеет хотя бы одно решение(не графическим способом)
Приложения:

Ответы
Ответ дал:
0
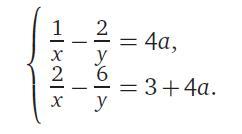
1/х=(2/у)+4а
(4/у)+8а-6/у=3+4а
-2/у=3-4а
у=-2/(3-4а);3-4а≠0;а≠3/4
1/х=(-4/(3-4а))+4а=(-4+12а-16а²)/(3-4а)
х=(3-4а)/(-4+12а-16а²)
-4+12а-16а²≠0
16а²-12а+4≠0
Д=144-256<0
-4+12а-16а²<0
ответ а≠3/4
(4/у)+8а-6/у=3+4а
-2/у=3-4а
у=-2/(3-4а);3-4а≠0;а≠3/4
1/х=(-4/(3-4а))+4а=(-4+12а-16а²)/(3-4а)
х=(3-4а)/(-4+12а-16а²)
-4+12а-16а²≠0
16а²-12а+4≠0
Д=144-256<0
-4+12а-16а²<0
ответ а≠3/4
Вас заинтересует
2 года назад
2 года назад
3 года назад
3 года назад
8 лет назад