Ответы
Ответ дал:
0
В файле решение и ответ.
Приложения:

Ответ дал:
0
Спасибо, я люблю тебя!!❤
Ответ дал:
0
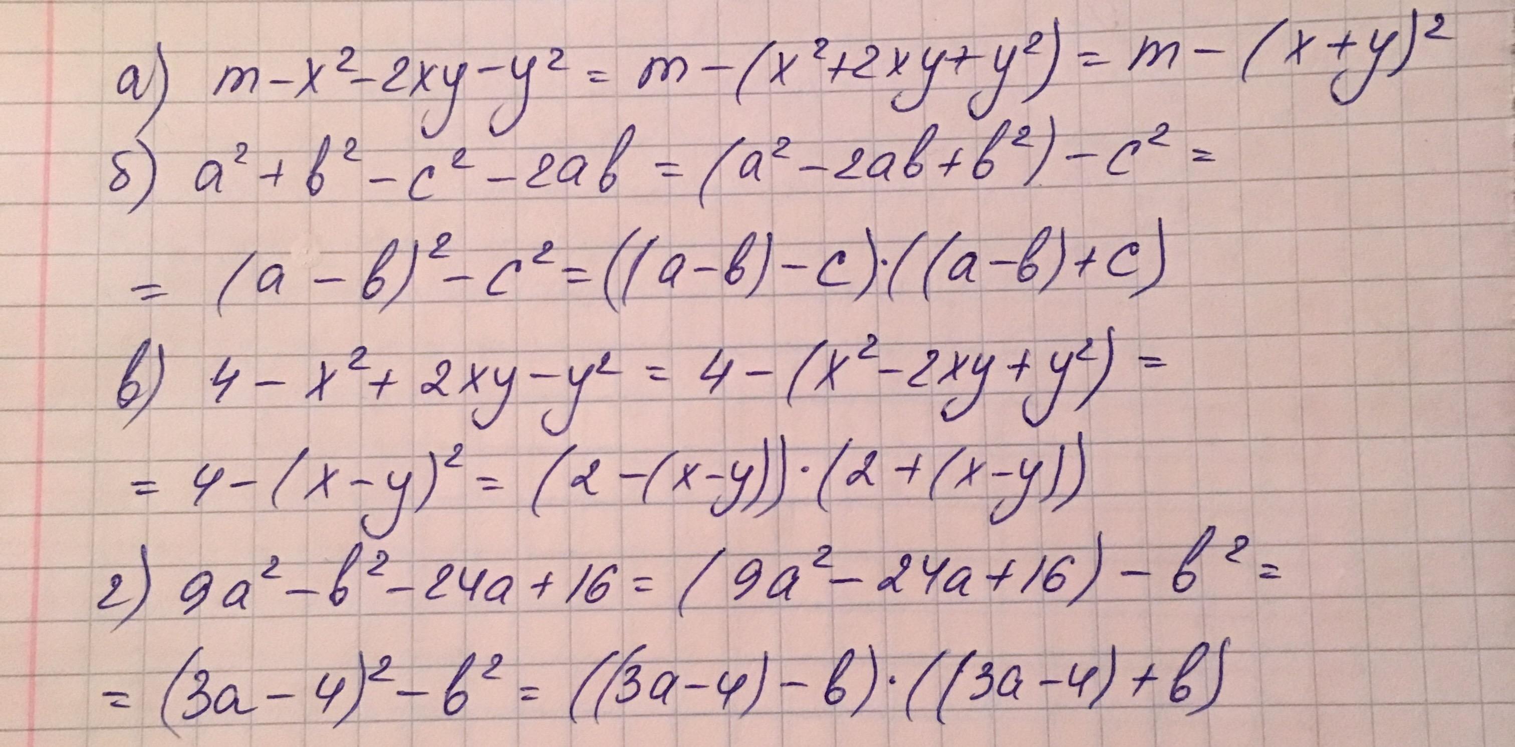
а.м-(х^2+2ху+у^2)= м-(х+у)^2
б. (а-б)^2-с
в.4-(а^2-2аб+б^2)= 4-(а-б)^2
г.(9а^2-24а+16)-б^2= (3а-4)^2-б^2
Приложения:

Вас заинтересует
2 года назад
2 года назад
3 года назад
3 года назад
8 лет назад
8 лет назад
9 лет назад
9 лет назад