• Предмет: Алгебра
  • Автор: katya749345
  • Вопрос задан 8 лет назад

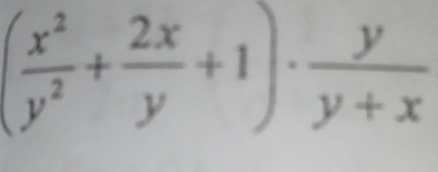
алгебра помогите задание упростить выражение ​

Приложения:

Ответы

Ответ дал: answer2020
0

(x^2/y^2+2xy/y^2+y^2/y^2)*y/(y+x)=(x^2+2xy+y^2)/y^2 * y/(y+x)=(x+y)^2/y(y+x)=(x+y)/y

Ответ дал: taisasnitko
0

=(x²+2xy+y²)/ y² ·y/(x+y)=(x+y)²·y /y²(x+y)=(x+y)/y.

Вас заинтересует