• Предмет: Математика
  • Автор: leana32
  • Вопрос задан 8 лет назад

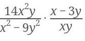
Решите уравнение
при х = 1,1
у= - 0,3​

Приложения:

Ответы

Ответ дал: oswin55555
0

(14x^2*y/(x-3y)*(x+3y))*((x-3y)/xy)=14x/(x+3y)=14*1,1/(1,1+3*(-0,3))=15,4/0,2=77

Вас заинтересует