• Предмет: Математика
  • Автор: worever
  • Вопрос задан 8 лет назад

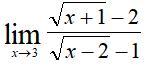
Решить предел не пользуясь правилом Лопиталя

Приложения:

Ответы

Ответ дал: NNNLLL54
0

limlimits _{x to 3}frac{sqrt{x+1}-2}{sqrt{x-2}-1}=limlimits_{x to 3}frac{(sqrt{x+1}-2)(sqrt{x+1}+2); (sqrt{x-2}+1)}{(sqrt{x-2}-1)(sqrt{x-2}+1); (sqrt{x+1}+2)}=\\\=limlimits_{x to 3}frac{(x+1-4); (sqrt{x-2}+1)}{(x-2-1); (sqrt{x+1}+2)}=limlimits _{x to 3}frac{(x-3); (sqrt{x-2}+1)}{(x-3); (sqrt{x+1}+2)}=\\\=limlimits_{x to 3}frac{sqrt{x-2}+1}{sqrt{x+1}+2}=frac{1+1}{2+2}=frac{2}{4}=frac{1}{2}

Вас заинтересует