Ответы
Ответ дал:
0
тут писать больше нечего рандомный набор букв агадвжвтыджцдц
Приложения:

Ответ дал:
0
Спасибо
Ответ дал:
0
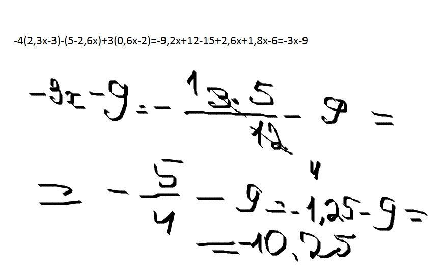
Ответ:
-10,25
Пошаговое объяснение:
Приложения:

Вас заинтересует
2 года назад
2 года назад
3 года назад
8 лет назад
9 лет назад
9 лет назад