• Предмет: Математика
  • Автор: koluya69
  • Вопрос задан 8 лет назад

срочно помогите 13 чрочно 35 балов ​

Приложения:

Ответы

Ответ дал: akhunovaaliyap6akzm
0
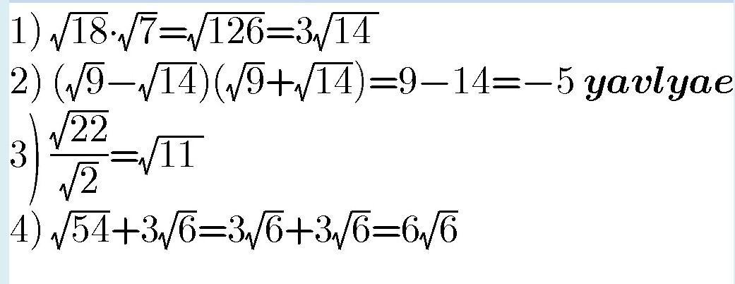
Решения и выводы показаны на фото.

Подходит ответ: 2) -5
Приложения:
Ответ дал: miroslavkhazov
0
-5 и есть правильный ответ
Ответ дал: akhunovaaliyap6akzm
0
значит в условии не правильно написано!!!
Ответ дал: miroslavkhazov
0
Все правильно в задании, 3√14,√11,6√6 и даже число пи не являются рациональными
Ответ дал: akhunovaaliyap6akzm
0
ой да Вы правы! я перепутала!!! сорри! пойду спать! спасибо!
Ответ дал: miroslavkhazov
0
Главное решение верное выдали! Вам спасибо!
Вас заинтересует