• Предмет: Математика
  • Автор: olimpiada06
  • Вопрос задан 8 лет назад

ДАМ 50 БАЛЛОВ ВСЕ ЧЕСТНО
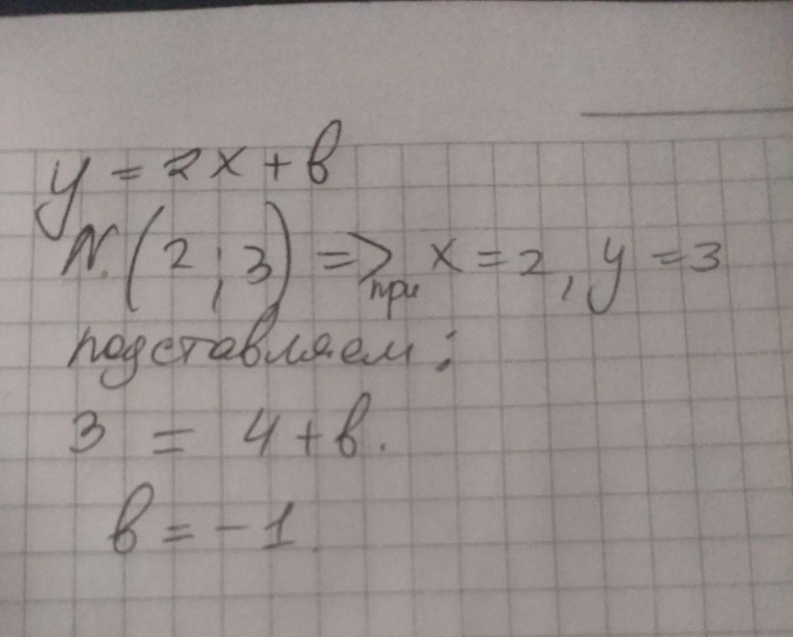
Дана функция y = 2x+b. Найдите b, если график этой функции проходит через точку N (2;3)

Ответы

Ответ дал: kseniaiap5y74u
0

просто подставь координаты точки N в уравнение функции

Приложения:
Ответ дал: olimpiada06
0
Спасибо!
Вас заинтересует