• Предмет: Алгебра
  • Автор: VitaliyDavidov
  • Вопрос задан 8 лет назад

Алгебра. квадратные корни и дроби​

Приложения:

Ответы

Ответ дал: akhunovaaliyap6akzm
0

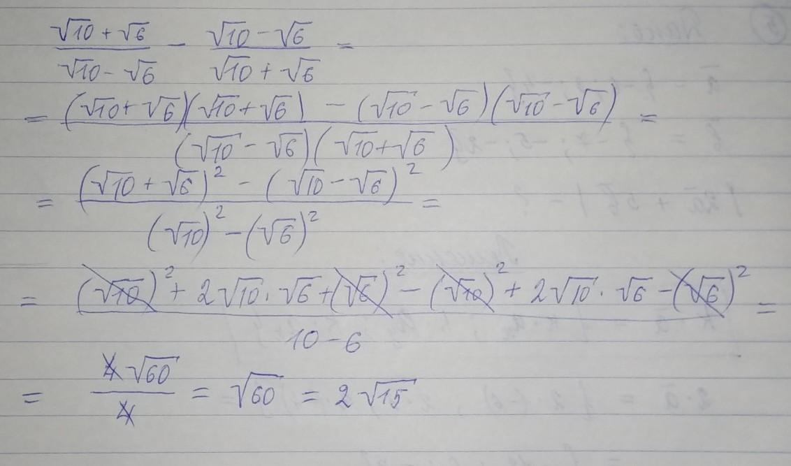
Ответ: 2√15

Решение показано на фото.

Приложения:
Ответ дал: VitaliyDavidov
0
Благодарю
Ответ дал: akhunovaaliyap6akzm
0
не за что! удачи!
Вас заинтересует