• Предмет: Алгебра
  • Автор: lytvynpavlo
  • Вопрос задан 8 лет назад

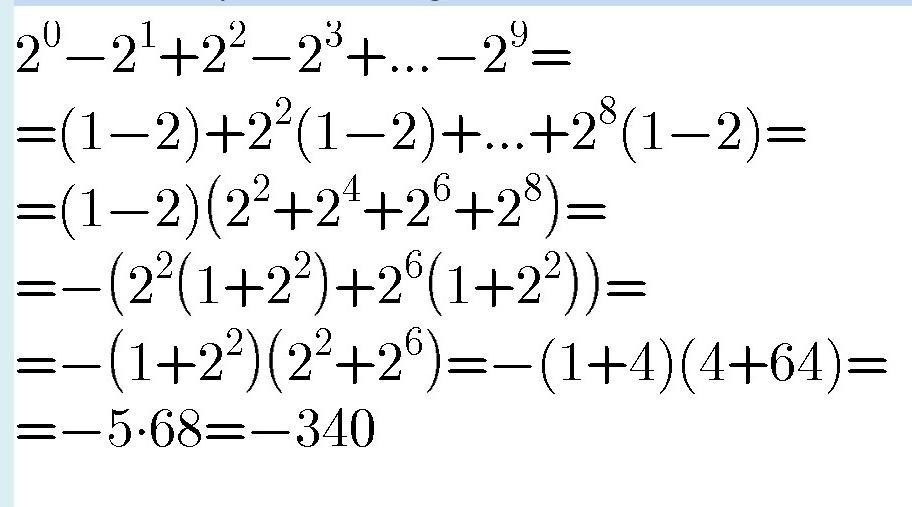
Найдите сумму: 1-2+2²-2³+...-2(в девятой степени). Накину 20 баллов)

Ответы

Ответ дал: akhunovaaliyap6akzm
0

Ответ: 340.

Решение на фото в приложении.

Приложения:
Вас заинтересует