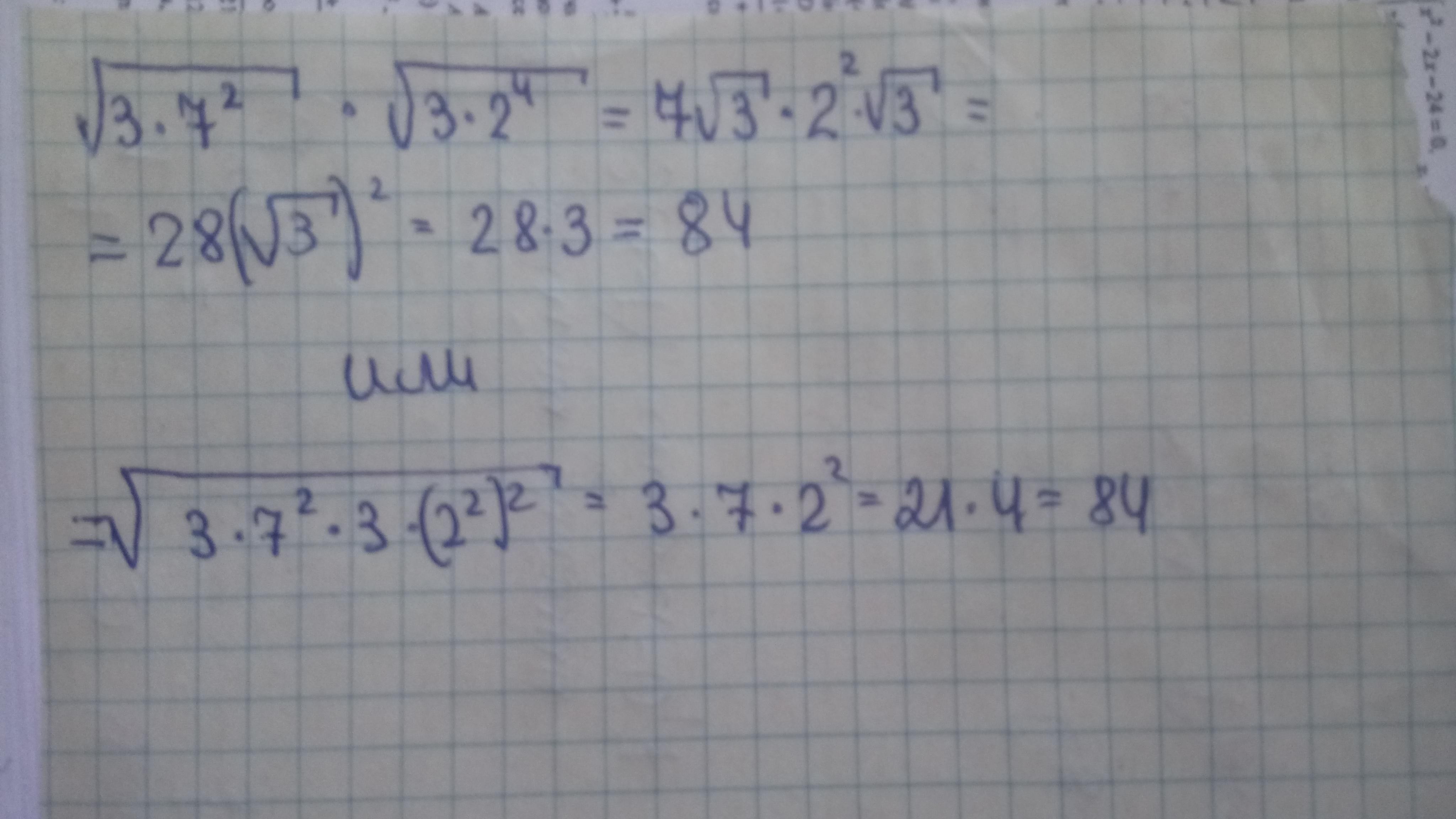
√(3×7^2) × √(3×2^4)= √(3×7^2 ×3 ×2^4)= √7056=84 Объясните почему, когда перемножили так получилось ( не перемножили, а какие действия, по идеи должно получиться 3x7 x 3x4 = √84 крч я намудрил тут, объясните действия
Ответы
Ответ дал:
0
√(3×7^2) × √(3×2^4)= √3×7×√3×2^2=
(√3)^2×7×2^2=3×7×4=84
Ответ дал:
0
Решение задания приложено
Приложения:

Вас заинтересует
2 года назад
3 года назад
8 лет назад
8 лет назад
9 лет назад