Ответы
Ответ дал:
0
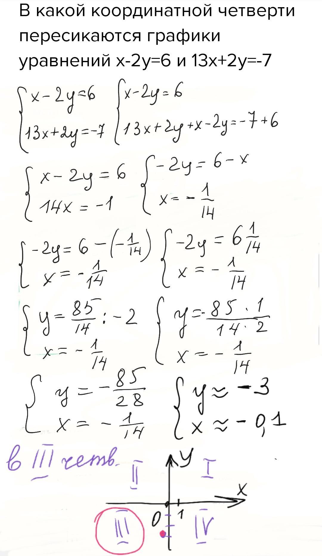
Ответ: графики пересекаются в 3 четверти.
Приложения:

Вас заинтересует
3 года назад
3 года назад
8 лет назад
9 лет назад
9 лет назад