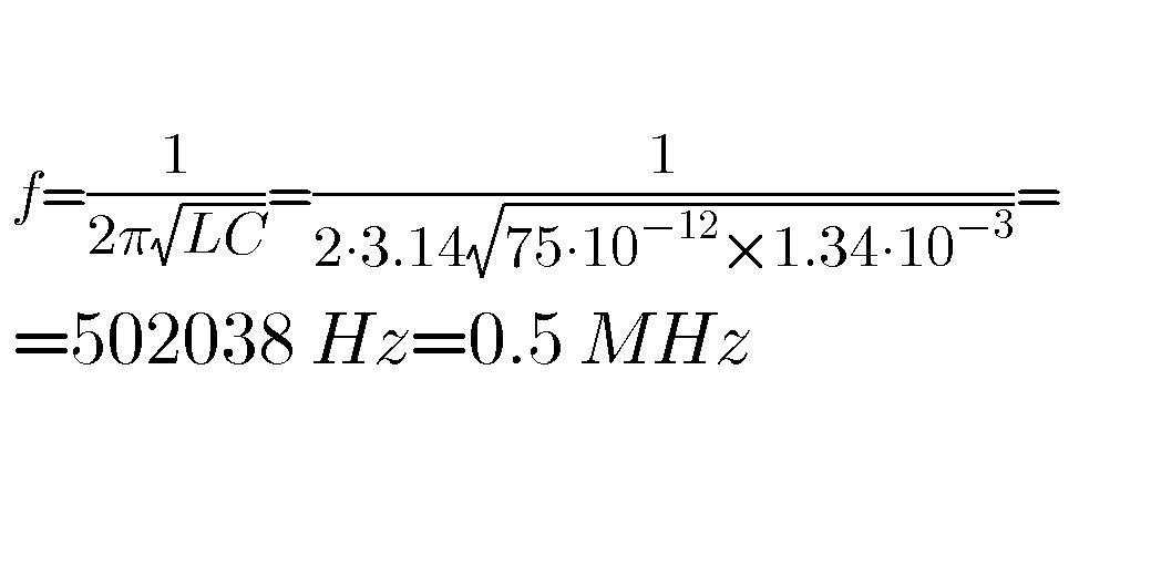
Хвилю якої довжини прийматиме радіоприймач, коливальний контур якого складається з конденсатора ємністю 75 пФ і котушки індуктивністю 1,34 мГн Знайдіть частоту власних коливань контуру радіоприймача.
Ответы
Ответ дал:
0
Смотри решение на фото
Приложения:

Вас заинтересует
2 года назад
2 года назад
3 года назад
3 года назад
8 лет назад
8 лет назад
9 лет назад