Ответы
Ответ дал:
0
________________________
Приложения:

Ответ дал:
0
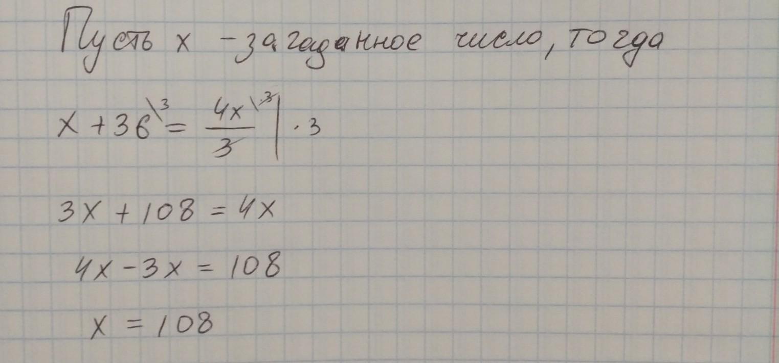
Изначально число было 3/3 часть, если к нему прибавили 36 и стало 4/3 числа, то 36 составляет 1/3 => изначальное число было
36 * 3 = 108
Приложения:

Вас заинтересует
2 года назад
2 года назад
3 года назад
8 лет назад
8 лет назад
9 лет назад
9 лет назад