Ответы
Ответ дал:
0
Ответ:
Пошаговое объяснение:
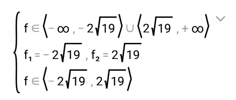
F(x)=19/1+x2
F(x)=19+x2
F(x)-19-x2=0
-F(x)+19+x2=0
x2-F(x)+19=0
D=(-F)2-4×1×19
D=F2-76
F2-76>0
F2-76=0
F2-76<0
Далее:
Приложения:

Вас заинтересует
2 года назад
3 года назад
8 лет назад
9 лет назад