• Предмет: Алгебра
  • Автор: askolokol
  • Вопрос задан 8 лет назад

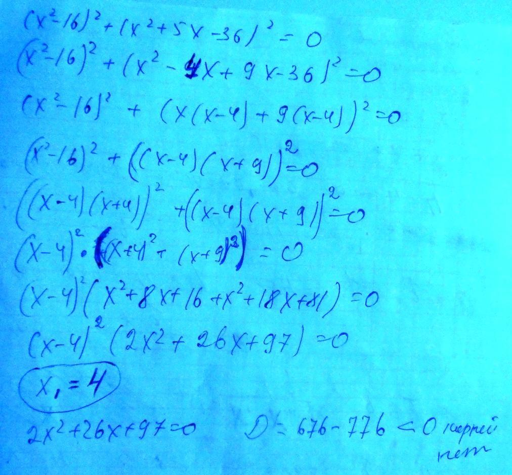
Решите уравнение пж​

Приложения:

Ответы

Ответ дал: sashko11300
0

(х^2-16)^2+(x^2+5x-36)^2=0

x^4-32x^2+256+x^4+25x^2+1296+10x^3-72x^2-360x=0

2x^4-79x^2+1552+10x^3-360=0

2x^4+10x^3-79x^2-360+1552=0

2x^4-8x^3+18^3-72x^2-7x^2+28x-388x+1552=0

2x^3(x-4)+18^2(x-4)-7x(x-4)-388(x-4)=0

(x-4)(2x^3+18x^2-7x-388)=0

(x-4)(2x^3-8x^2+26x^2-104x+97x-388)

(x-4)(2x^2(x-4)+26x(x-4)+97(x-4))=0

(x-4)(x-4)(2x^2+26x+97)=0

(x-4)^2(2x^2+26x+97)=0

(x-4)^2=0

2x^2+26+97=0

x=4

Ответ дал: miron2077
0

!!!!!!!!!!!!!!!!!!!!!!!!!!!!!!!!!11

Приложения:
Вас заинтересует