• Предмет: Алгебра
  • Автор: ucq37555
  • Вопрос задан 8 лет назад

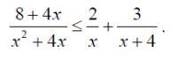
Помогите с уравнением!!!!!!!!!!!
Завтра нужно сдать!!!

Приложения:

Ответы

Ответ дал: lidiasaraa3
0

на фото...............

Приложения:
Вас заинтересует