Комплексные числа
Придумать 6 чисел в алгебраической форме и представить их в алгебраической и показательной из них нужно 2 осевых
Ответы
Ответ дал:
0
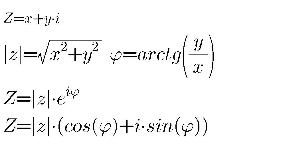
Смотри решение на фото
Приложения:


Вас заинтересует
2 года назад
2 года назад
3 года назад
3 года назад
8 лет назад
8 лет назад
9 лет назад
9 лет назад