• Предмет: Математика
  • Автор: LolisPopis
  • Вопрос задан 8 лет назад

Помогите! Пожалуйста! Срочно!
Решение обязательно (по порядку)

Приложения:

Ответы

Ответ дал: tatsach
0

Ответ:

Пошаговое объяснение:

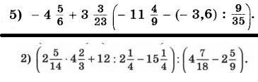
5) -3,6:9/35=-18/5*35/9=-14

-11 4/9-(-14)=-11 4/9+14=2 5/9

3 3/23*2 5/9=72/23*23/9=8

-4 5/6+8=3 1/6

2) 2 5/14*4 2/3=33/14*14/3=11

12:2 1/4=12*4/9=16/3=5 1/3

11+5 1/3=16 1/3

16 1/3-15 1/4=16 4/12-15 3/12=1 1/12

4 7/18-2 5/9=4 7/18-2 10/18=1 5/6

1 1/12:1 5/6=13/12*6/12=13/24

Вас заинтересует