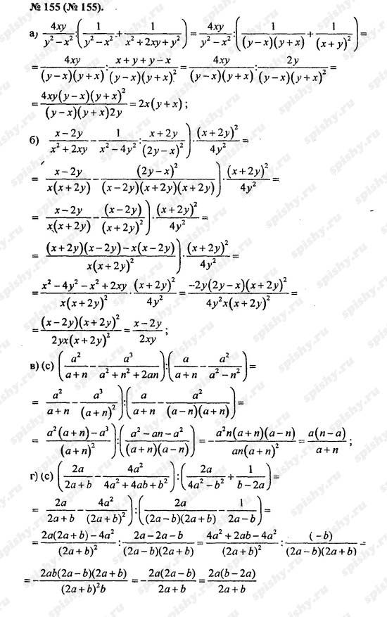
Очень срочно надо, завтра к доске вызовут, и я буду решать именно этот номер, я хочу проверить, решите пожалуйста ни листочке и сфоткайте, и скиньте мне в сообщения пожалуйста или как-то напишите) фото в вложениях)
Приложения:

Ответы
Ответ дал:
0
Вот, получите 5+..ПРОВЕРЯЛ..
Приложения:

Вас заинтересует
2 года назад
2 года назад
8 лет назад
8 лет назад
10 лет назад
10 лет назад
10 лет назад