• Предмет: Алгебра
  • Автор: qwerty12470
  • Вопрос задан 8 лет назад

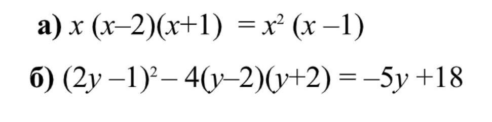
Помогите решить уравнение​

Приложения:

Ответы

Ответ дал: Nelia2019
0

У меня вот так получилось

Ответы в а) х=0;

               б) нет корней

Приложения:
Вас заинтересует