Решить уравнения
1 84 • x = 588;
2 4 • (18 + x) = 96;
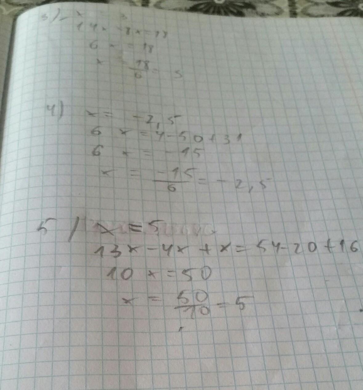
3 14x — 8x = 18;
4 50 + 6x — 31 = 4;
5 13х + 20 — 4х — 16 + х = 54
Ответы
Ответ дал:
0
решены все уравнение
Приложения:


Вас заинтересует
2 года назад
2 года назад
3 года назад
3 года назад
8 лет назад
8 лет назад
9 лет назад