Как решить уравнение:
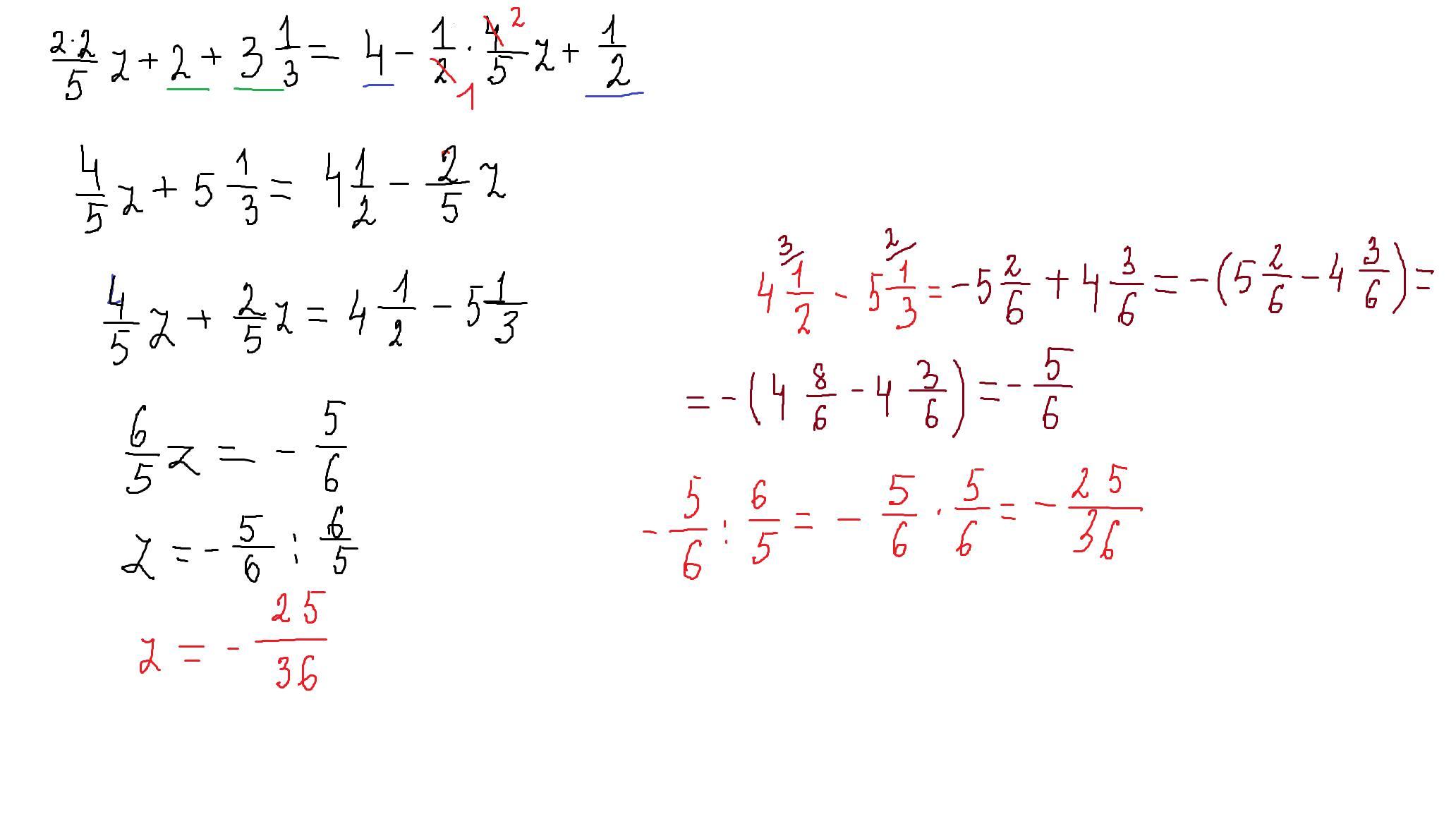
2*(2/5z+1)+(три целых одна третья) =4-1/2*(4/5z-1)
Обьясните пж
Приложения:

Ответы
Ответ дал:
0
Ответ:
Пошаговое объяснение:
сначала надо раскрыть скобки,потом упростить,привести подобные слагаемые и решить уравнение
Приложения:

Вас заинтересует
2 года назад
2 года назад
3 года назад
3 года назад
8 лет назад