• Предмет: Алгебра
  • Автор: zrfnzk
  • Вопрос задан 8 лет назад

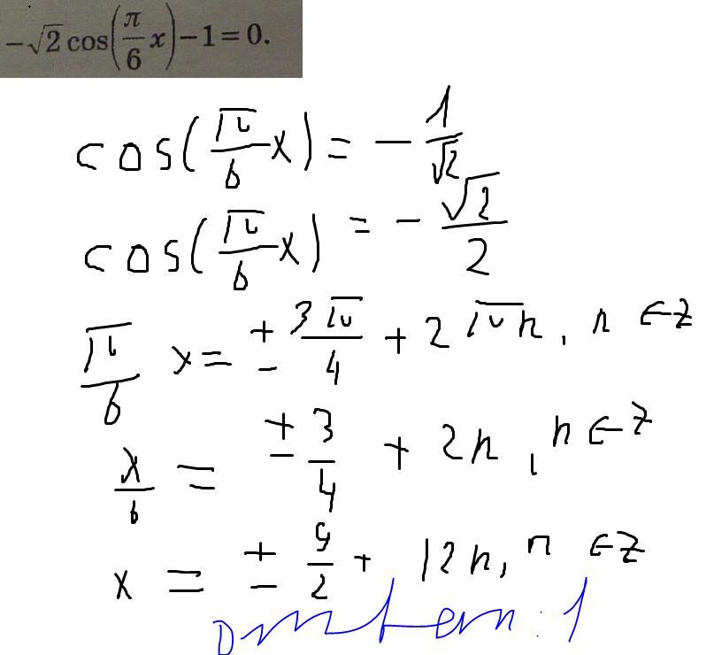
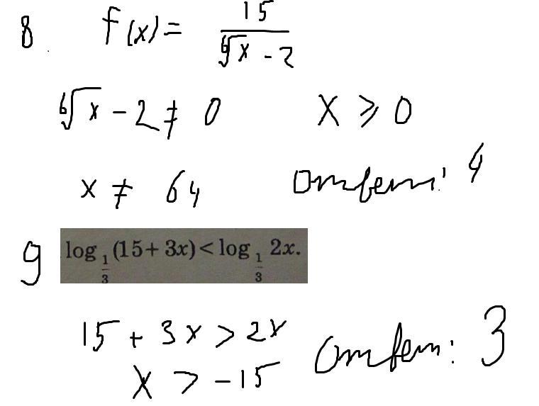
Много баллов. Срочно. Решите пожалуйста

Приложения:

Ответы

Ответ дал: ponacakir
0

Все решено на картинках, я пишу символы аааа

Приложения:
Вас заинтересует