Ответы
Ответ дал:
0
--------------------
Приложения:

Ответ дал:
0
спасибо!!
Ответ дал:
0
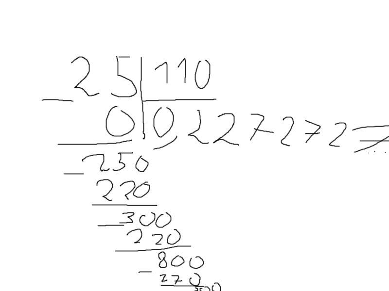
Ответ: 0 .227
Пошаговое объяснение:
25 | 110
220 | 0.227
-300
220
-800
770
30
Приложения:

Ответ дал:
0
спасибо!
Вас заинтересует
2 года назад
2 года назад
3 года назад
3 года назад
8 лет назад