Найдите значение выражения:
а.)раксрыв скобки:
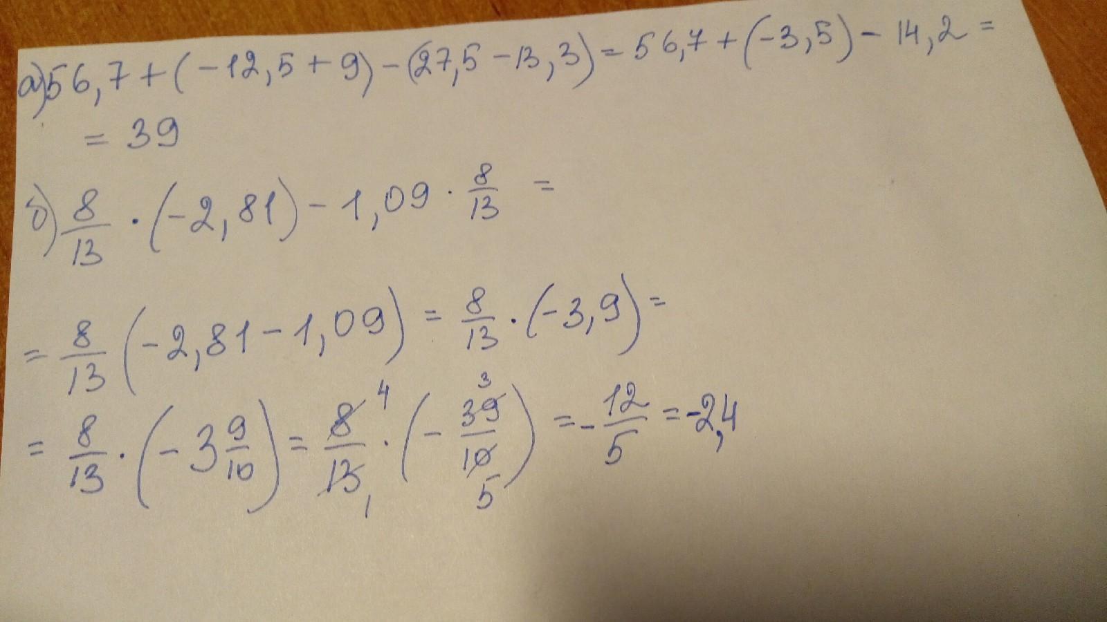
56,7+(-12,5 + 9)-(27,5 - 13,3)
б.)Применив распределительное свойство умножения:
8/13 × (-2,81) - 1,09 × 8/13
Ответы
Ответ дал:
0
Вроде правильно решила
Ответ: - 2,4
Приложения:

Ответ дал:
0
у тебя все свойства правильны,как учитель и говорил,спасибо большое,получай сердечко;)
Вас заинтересует
2 года назад
3 года назад
3 года назад
8 лет назад
9 лет назад